주요메뉴 바로가기 본문 바로가기

주메뉴

IBS Conferences

New Theory Explains the True Upper Limit of Conventional Superconductivity

A new theoretical study has identified a fundamental kinetic barrier that limits how strongly electrons can couple to lattice vibrations in metals. Because electron–phonon coupling directly controls the superconducting critical temperature in conventional superconductors, this finding places a strict upper limit on how high the critical temperature can rise in phonon-mediated systems. The work was supported in part by the Institute for Basic Science (IBS) in Korea.

Hydrogen-rich materials have attracted intense interest in recent years after compounds such as H3S and LaH10 achieved near-room-temperature superconductivity under high pressure. These systems rely on conventional pairing, in which electrons attract by exchanging phonons. In the strong-coupling regime, Migdal–Eliashberg theory generalizes BCS theory and predicts that the critical temperature 𝑇𝑐 grows roughly with the square root of the electron–phonon coupling 𝜆. Within that theoretical framework there is no strict upper limit on 𝜆, and therefore no fundamental bound on 𝑇𝑐.

The new study shows that such a bound does exist, but it emerges from nonequilibrium physics rather than equilibrium energetics. When the physical electron–phonon coupling becomes too large, the combined electron–phonon system becomes intrinsically unstable: tiny deviations from equilibrium grow instead of relaxing. Microscopically, this instability appears when the electronic quasiparticle weight 𝑍(𝐸) becomes negative over a finite range of energies.

This instability appears before the electronic specific heat becomes negative — indicating that the system loses thermal equilibrium at an even earlier stage. Both are clear indications that electrons and phonons can no longer maintain a stable thermal equilibrium. Importantly, this kinetic instability does not involve phonon softening and is fundamentally different from the polaronic or charge-density-wave instabilities often encountered in simplified electron–phonon models.

Because 𝑇𝑐 in phonon-mediated superconductors increases with square root of 𝜆, a limit on 𝜆 becomes a true upper limit on 𝑇𝑐. Translating the kinetic bound into experimental terms produces a ceiling that remains well above room temperature under extreme high-pressure conditions, meaning that very high 𝑇𝑐 values in hydrogen-rich materials are still consistent with fundamental physics.

However, the new analysis shows that this route cannot be extended indefinitely. Because this instability emerges at a precise threshold, it provides a strict upper bound on the physical electron–phonon interaction strength — beyond a certain point, attempting to increase 𝜆 does not raise 𝑇𝑐 further but instead destroys the stability of the metallic state.

This work helps to clarify why hydrogen-rich hydrides achieve such remarkable critical temperatures, while also indicating where the strong-coupling approach must eventually end. The results provide experimentalists with concrete warning signs—such as changes in quasiparticle weight or electronic specific heat—that signal proximity to the kinetic limit. More broadly, the study offers a realistic map connecting measured coupling strengths to achievable 𝑇𝑐 values, helping to distinguish physically attainable targets from those that lie beyond the boundary set by nonequilibrium stability.

Although practical room-temperature superconductors remain a major scientific challenge, this result does not close the door on their discovery. Instead, it establishes the physical boundary of what is possible with electron–phonon pairing alone, while leaving open the possibility that future materials may reach or even exceed these limits through new mechanisms.


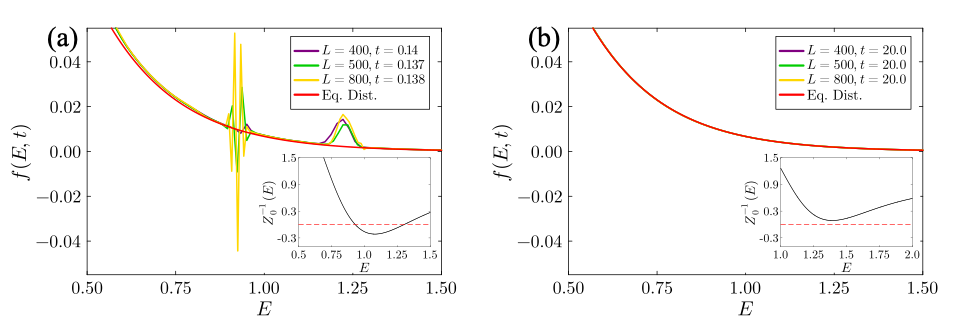
Figure 1
Figure 1. As the electron-lattice interaction gets very strong, there’s a tipping point where tiny ripples don’t fade – they snowball. The earliest warning is a change in the electrons’ “weight” signature (i.e., Z0-1(E) becoming negative), showing the system can no longer restore calm. Push further, and even the electronic heat capacity flips sign (see Fig. 2) – but the runaway starts earlier, setting a real, physical ceiling on how high superconducting Tc.


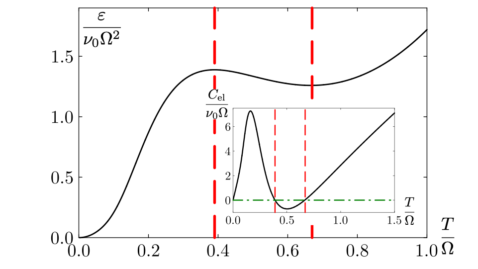
Figure 2
Figure 2. The plot tracks the metal’s electronic energy as you warm it up. In a certain temperature band, the curve bends the “wrong” way – meaning tiny disturbances won’t settle, and the metal can’t remain a stable metal there. It’s the electrical analogue of the classic van der Waals story: just as a gas can’t exist uniformly between liquid and vapor, the metal can’t exist uniformly in this forbidden temperature window. Practically, that band flags a built-in instability that any ultra-strongly coupled, phonon-based superconductor must respect.


Notes for editors

- References
Emil A. Yuzbashyan, Boris L. Altshuler, and Aniket Patra, Instability of Metals with Respect to Strong Electron-Phonon Interaction. Physical Review Letters 135, 026503 (2025). DOI: 10.1103/sf5p-2g5l


- Media Contact
For further information or to request media assistance, please contact William I. Suh at the IBS Public Relations Team (willisuh@ibs.re.kr).


- About the Institute for Basic Science (IBS)
Founded in 2011 by the government of the Republic of Korea, the Institute for Basic Science (IBS) aims to advance the frontiers of basic science nationwide. As of July 2025, IBS comprises 8 research institutes and 33 research centers spanning nine in physics, three in mathematics, five in chemistry, seven in life sciences, two in earth sciences, and seven interdisciplinary centers.
IBS Research Centers are hosted by leading research-oriented universities across the country, while the IBS Headquarters in Daejeon houses 12 centers as well as administrative offices and core research facilities. For more information, visit https://www.ibs.re.kr and follow us on Facebook and X.

Research

Are you satisfied with the information on this page?

Content Manager
Public Relations Team : Yim Ji Yeob   042-878-8173
Last Update 2023-11-28 14:20