
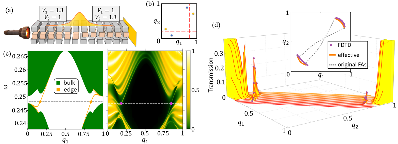
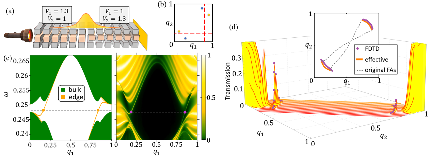
Advancements in Topological Photonics: Unveiling Fermi Arc Reconstruction through Innovative Photonic Structures- A new framework allows the experimental realization of topological phases in higher dimensions - Topological photonics is a rapidly expanding frontiers in modern physics research. The field has witnessed an exponential surge in its growth in the recent years. It not only serves as a platform for probing intricate fundamental inquiries that were once elusive within condensed matter systems but also paves the way for the development of cutting-edge applications, notably in the domains of 5G and 6G communications. In a groundbreaking contribution, researchers from the Center for Theoretical Physics of Complex Systems within the Institute for Basic Science have discovered that a new photonic structure can explain the phenomenon of Fermi arc reconstruction—an enigmatic occurrence that was, until now, a theoretical prediction. This revolutionary system, slab waveguide composed of three one-dimensional dielectric gratings, harnesses synthetic momenta from the relative displacements between adjacent layers. The unique feature of this trilayer lattice lies in its ability to replicate the spectral traits of three-dimensional crystals with broken time-reversal symmetry, allowing for the emulation of critical states such as Weyl semimetals, nodal line semimetals, and three-dimensional Chern insulators. Notably, this facilitates the exploration of phenomena like the phase transition between Weyl semimetals and Chern insulators and the interface states between two Chern insulators. As a result, the proposed lattice provides a platform for the simulation of intricate physical phenomena and a foundation for practical applications. The Fermi arc reconstruction, a phenomenon manifested at the interface between two distinct Weyl semimetals characterized by disparate nodal configurations, is elucidated through this method. Due to the interplay between the materials, this interface engenders a novel intermingling of topological surface states—dubbed Fermi arcs—culminating in the creation of fresh interface states, often exhibiting distinct signatures in electronic transport such as the remarkable 3D “snake states.” Traditionally, capturing the spectra of these interface states—nestled between two 3D materials—has posed a challenge. Conventional experimental methods for condensed matter systems, such as angle-resolved photoemission spectroscopy or scanning tunneling microscopy, fall short in their attempts to visualize these elusive states directly. Thus, recent efforts have shifted towards transport experiments as an indirect means to observe coupled Fermi arcs under specific configurations. The photonic lattice can be described by a model that aptly corresponds with rigorous electromagnetic simulations, and it offers a tangible means of visualizing such interface states bridging two Weyl semimetals and directly confirms Fermi arc reconstruction, a validation that has remained elusive until now. With great conviction, the researchers anticipate their discoveries will serve as a catalyst not only for further theoretical and experimental endeavors into Fermi arc reconstruction but also for broader investigations into this multifaceted system, including the nodal semimetals and their ensuing phase transitions. This pioneering work marks a significant leap forward in topological photonics, unraveling complex phenomena and providing a versatile canvas for applications that will shape the future of technology.
Notes for editors
- References
- Media Contact
- About the Institute for Basic Science (IBS)
|
| Next | |
|---|---|
| before |