뉴스센터
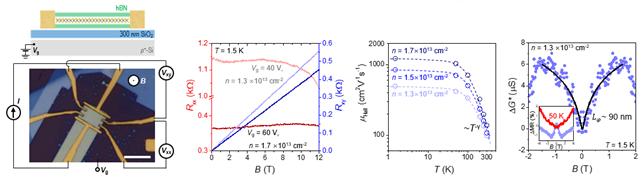
양자 기술용 원자층 반도체 대면적 합성- 반데르발스 양자 물질 연구단, 양자 소자급 2차원 반도체 세계 최초 대면적 합성 성공 - 양자 소재의 대면적화에 한 걸음 더 다가갔다. 기초과학연구원(IBS, 원장 노도영) 반데르발스 양자 물질 연구단의 조문호 단장 연구팀은‘양자 등급(quantum grade)’의 초고순도 2차원 반도체를 대면적으로 합성하는 데 세계 최초로 성공했다. 이는 고성능 반도체 집적회로 구현을 위한 차세대 기반 소재이자, 신개념 양자 소자 개발을 견인할 핵심 기반 기술로 주목된다. 세상에서 가장 얇은 반도체인 2차원 반도체는 새로운 양자 현상을 탐구할 수 있는 차세대 물질 플랫폼으로 주목받고 있다. 단순한 물리 현상의 관측을 넘어 실질적인 응용으로 이어지기 위해서는 2차원 반도체의 대면적 합성이 필수적이며, 이를 위해 지난 수년간 다양한 합성법이 제안되어왔다. 그러나 양자 특성을 구현할 수 있을 만큼 결정성이 정제된 고품질의 2차원 반도체를 대면적으로 합성하는 것은 여전히 해결되지 않은 과제로 남아 있었다. 연구팀은 이러한 난제를 해결하기 위해 독특한 사파이어 기판을 합성 템플릿으로 도입했다. 단결정 사파이어를 특정 평면에 높은 각도(15도)로 비스듬하게 자르면(miscut), 그 단면은 계단이 무한히 반복되는 구조이며 계단 간 간격은 1nm(10억분의 1m)도 채 되지 않을 정도로 촘촘하다. 이 위에 2차원 반도체 소재 이황화몰리브덴(MoS2)1)을 에피택시 성장2) 할 경우, 오로지 뾰족한 계단 모서리에서만 핵생성이 발현하기 때문에 결정이 하나의 배향으로 통일된다. 동일 배향의 결정들이 성장 과정에서 만나면 어떠한 경계면도 만들지 않고 매끄럽게 합쳐져, 결과적으로 경계 결함3)이 전혀 없는 단결정 박막이 대면적으로 형성된다. 연구진은 온도와 압력을 비롯한 최적의 합성 조건을 찾아내어 점 결함4)마저 최소화된 최고 품질의 MoS2 박막을 miscut 사파이어 위에서 만들어냈다. 이 MoS2 박막의 무결성은 원자 하나하나를 분간할 수 있는 고해상도의 투과전자현미경5)을 활용하여 직접 확인했다. 소재 본연의 특성을 저해하는 요소인 결함을 최소화한 덕분에, 2차원 반도체 고유의 우수한 전기적 특성을 끌어낼 수 있었다. 연구팀이 합성한 단결정 MoS2 기반의 전자 소자는, 기존의 다른 합성 방식으로 제조된 MoS2 소자들과 비교해 전반적으로 더 우수한 트랜지스터 성능을 나타내었다. 고체 내의 전자의 움직임을 방해하는 요소는 크게 결정 결함과 열로 구분된다. 연구팀이 합성한 고순도 단결정 MoS2를 극저온으로 냉각하여 전자가 결함과 열 모두로부터 자유로운 환경을 만들었다. 그 결과 전자는 매우 높은 이동도6)를 갖게 되어 자기장과의 상호작용을 통해 양자 진동7) 현상을 유발했다. 이는 대면적 2차원 반도체에서 양자 수송 현상을 관찰한 세계 최초의 사례이다. 연구팀의 성과는 대면적 에피택시 성장으로도 양자 소자급의 원자층 반데르발스 물질 구현이 가능함을 규명한 것으로서 매우 중요한 연구 결과이다. 연구를 이끈 조문호 연구단장은 “웨이퍼 규모의 2차원 양자 전자 시스템을 구현했고, 이를 바탕으로 차세대 반도체 또는 양자 소자에서 다양한 후속 연구로 활용된다.”라고 언급했다. 이번 연구는 세계적 학술지 네이처 일렉트로닉스(Nature Electronics, IF=40.9) 誌에 11월 27일 게재됐다. 그림 설명
1) 이황화몰리브덴: 몰리브덴(Mo) 원자 하나에 황(S) 원자가 두 개 들어있는 층상구조를 갖는 화합물로, 단일층에서 1.8 eV 정도의 밴드갭 에너지를 보이는 반도체이다. 2) 에피택시 성장: 기판의 결정 구조에 맞춰 얇은 결정층이 동일한 방향으로 정렬되며 성장하는 증착 방식. 3) 경계 결함: 서로 다른 배향의 두 결정이 만나 형성되는 경계로, 2차원 반도체의 경우 선 형태로 나타나게 된다. 결정립계라고도 불린다. 4) 점 결함: 물질의 구조에서 원자나 이온이 결여된, 혹은 잘못 배열된 지점. 5) 투과전자현미경: 고에너지 전자빔을 시료에 투과시켜 원자 수준의 내부 구조를 고해상도로 관찰할 수 있는 전자현미경. 6) 이동도: 전기장 하에서 전하 운반자가 얼마나 빠르게 이동하는지를 나타내는 물리량. 단위 전기장 당 전하의 평균 속도를 의미한다. 7) 양자 진동: 강한 자기장에서 전자의 에너지 상태가 양자화되면서, 채널 저항이 자기장에 따라 주기적으로 변하는 현상. Shubnikov-de Haas oscillation이라고도 불린다. |
| 이전 |
|---|